aircraft
aircraft nerds
aircraftnerds
Flaps
How flaps work
nerds
Newtons theory of lift
How Flaps Work?
How Flaps Work?
How flaps work - wikimedia
All of the aircraft including small Cessna 172 to giant Antonov An225 have flaps. But what is the purpose of these flaps? And How do they work? Let's Check it out!
Antonov An225 Flaps - Wikimedia
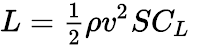
First of all main purpose of flap is to produce more lift to the aircraft. This is done by increasing the camber and the surface area of the aircraft wing. As we know the lift formula is
Here S is Surface area of the wing. So from the formula above we know lift is directly proportional to surface area of the wing. So as Surface area of the wing increases lift to the wing increases with it.
Now let me explain about lift in some details
For lift on the wing there are two theories. One is proposed by Bernoulli and other by Newton. And combination of these two theories is reason for production of lift on the wing. Here for explanation of working of flaps we need to know about newton's lift theory.
Flow over Aerofoil - Wikimedia
Air flowing over the wing remains attached to the surface of the wing. This is due to coanda effect. When airflow leaves the wing surface, wing applies force on airflow and deviates the direction (due to coanda effect) of the flow of airflow. As we know newton's third law of motion: Every action has an equal and opposite reaction. Airflow exerts reaction force on the wing of equal and opposite magnitude of force which wing exerted on the airflow. This reaction force is known as Lift.[Learn more about lift here]
Now what flaps do is they increase the camber of the aircraft wing. Camber is just the curve of the wing. As curve of the wing is increased, wing exerts more force on the airflow (Coanda effect), So as reaction to this force airflow exerts more force on the wing so more lift.
Purpose of the Flaps
Flaps Increase the drag on the aircraft
As flaps increase lift on the wing, they also increase lift induced drag with it. Extending flaps creates wake behind the wing. This wake creates more drag. This increased drag helps aircraft to slow down.
Flaps reduces the stall speed
As extending the flaps increase the lift. Hence Aircraft can fly with even slow speed without stalling.
Flaps Settings
While Take-off only few degrees of flaps are extended as extending flaps create more drag and its not good idea to create more drag while speeding up for take-off.
Boeing 747 Take off - Wikimedia
While Landing pilot can use maximum settings for flaps. As Flaps increase lift and drag. This will allow aircraft to touchdown slowly.
Boeing 747 Landing - Wikimedia
Thanks for reading!
For more posts visit:-
www.aircraftnerds.com
Like us on facebook
facebook.com/aircraftnerdsblog
mail us your queries & suggestions on
aircraftnerds@gmail.com




